Join us in exploring the nuances of . This comprehensive guide covers the essential aspects and latest developments within the field.
continues to evolve as a critical topic in modern discourse. Our automated engine has curated the most relevant insights to provide you with a high-level overview.
" is universally considered a compelling subject worthy of deeper analysis."
Below you will find a curated collection of visual insights and related media gathered for .
Image References
Solutions of Non-Homogeneous Linear Partial | PDF | Partial ...
Lecture-3 Partial Differential Equation | PDF | Differential Equations ...
Solved Solve the above non-homogeneous differentialequations | Chegg.com
Solved Partial Differential Equations (PDE), non-homogeneous | Chegg.com
Solved Solve the given non-homogeneous differential | Chegg.com
Solved Solve the non homogeneous differential equations by | Chegg.com
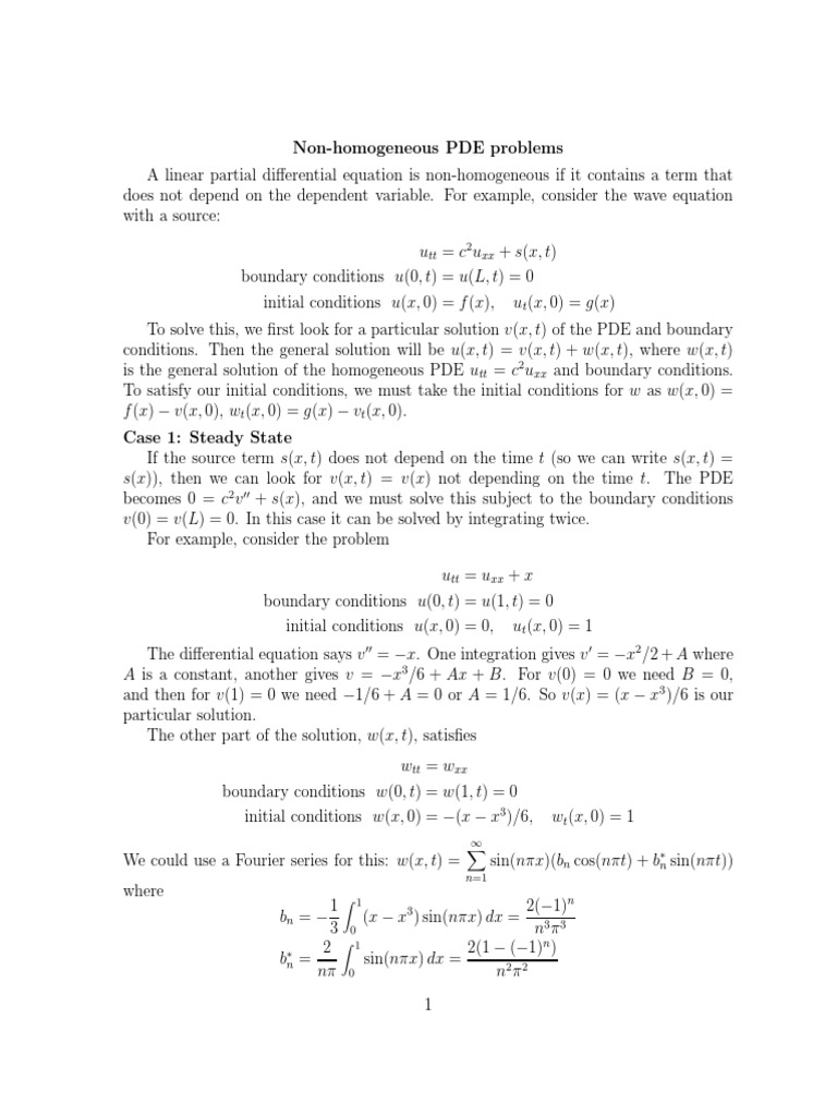
Non Homogeneous PDE | PDF | Partial Differential Equation | Sine
3: How to Solve Linear Homogeneous Partial Differential Equations ...
Nonhomogeneous Differential Equations - Coding Ninjas
Non Homogeneous Differential Equations Examples at Dwight Dees blog