Join us in exploring the nuances of . This comprehensive guide covers the essential aspects and latest developments within the field.
continues to evolve as a critical topic in modern discourse. Our automated engine has curated the most relevant insights to provide you with a high-level overview.
" is universally considered a compelling subject worthy of deeper analysis."
Below you will find a curated collection of visual insights and related media gathered for .
Image References
Cell Structure and Function PDF | PDF | Cell (Biology) | Cell Membrane
Cell Structure and Function | Download Free PDF | Cell (Biology) | Cell ...
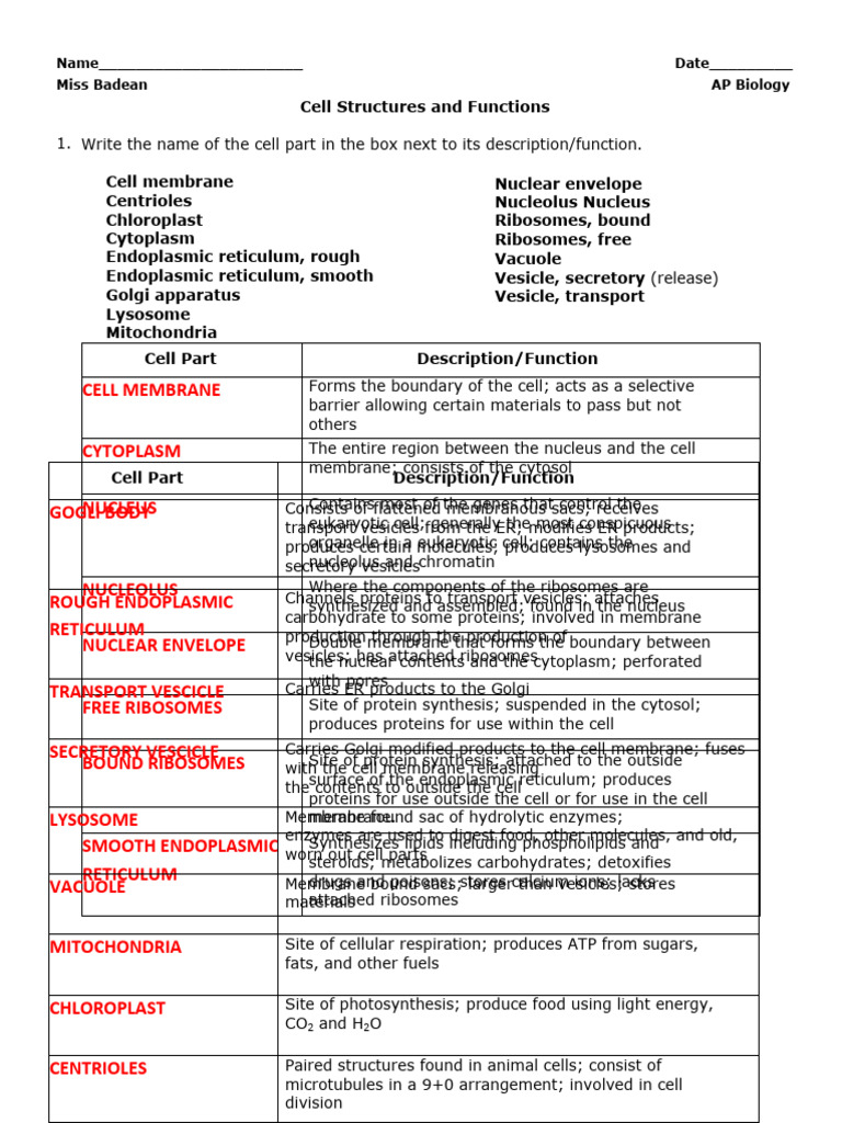
Cell Structures and Functions Review ANSWER KEY | PDF | Endoplasmic ...
Chapter 7 Cell Structure And Function Answer Key — db-excel.com
Skills Worksheet Cell Structure And Function Answer Key ...
Cell Structure And Function Worksheet Answer Key — db-excel.com
Cell Structure and Function HW KEY | PDF
1.1 Cell Structure and Function | PDF | Cell (Biology) | Cytoplasm
Cell Structure and Functions | PDF
Cell Structure And Function Test Answer Key - Fill Online, Printable ...